推薦資訊
免費咨詢熱線
0530-62913331,歷史回顧:
1858 年,Peter Griess首次發現了芳香重氮化合物。
1884 年,德國化學家T.Sandmeyer在用乙炔銅和苯胺的重氮鹽(PhN2Cl)合成苯乙炔時,得到的主產物卻是氯苯,經過仔細研究,發現原來是由于反應中產生的CuCl催化使重氮基被氯取代。隨后,Sandmeyer發現用CuBr和CuCN也能得到相應的溴苯和苯甲腈,因此我們把這一類反應稱為Sandmeyer反應。
1890 年,L.Gatterman發現直接用銅粉和鹽酸或氫溴酸也能從苯胺得到相應的氯苯或溴苯,這種類型的反應稱為Gatterman反應。
1927 年,同樣是德國的化學家G.Balz和G.Schiemann發現直接加熱苯胺的硼氟酸重氮鹽能得到氟苯,這就是Balz-Schiemann反應。
1935 年,F.B.Dains和 F.Eberly用KI去處理重氮鹽,成功合成了碘代苯。隨后重氮化羥基取代和重氮化去胺反應也相繼被發現,加上偶氮反應,形成了比較完善的芳香重氮化合物反應體系。
2,定義:是指一級胺與亞硝酸在低溫下作用生成重氮鹽(dizaonium salt)的反應(diazotization)。脂肪族伯胺與亞硝酸反應,可以訂量釋放出來氮氣,這是測量脂肪伯胺非常好的方法,可以形成碳正離子,副反應比較多,在合成上很少使用。芳香族伯胺和亞硝酸作用生成的重氮鹽,由于氮正離子與苯環的共軛,穩定性大大提高,這樣一個中間體,在酸性介質中,在0-5oC可以穩定存在。一旦遇到光照和加熱,會馬上分解。所以這樣的一個重氮鹽在合成中要現制現用。

3,反應機理:

芳胺的重氮化反應需經2步,首先是親電試劑進攻芳胺氮原子生成不穩定的中間產物,然后不穩定中間產物迅速分解,整個反應受第一步控制。無機酸不同,參與重氮化反應的親電試劑也不同。稀硫酸中參與反應的是N2O3(一為不穩定結構ONONO,一為穩定結構ONNO2),鹽酸中參與反應的是亞硝酰氯NOCl;在濃硫酸中則是亞硝基正離子N+O。他們的親電性強弱順序為: N+O>NOCl>N2O3
重氮鹽的氮原子為sp雜化,當重氮離子與芳烴相連,芳環的大π鍵與重氮基的π鍵共軛,使得其穩定性較脂肪族重氮鹽的高。由于共軛效應影響,單位正電荷并不完全集中在一個氮原子上,共振式如下:

共振式(I)(II)可解釋重氮鹽有雙重反應性能, (I)式表現易發生放氮的取代反應,(II)式作為重氮組分進行偶合反應。
4,重氮化反應的影響因素
1)無機酸
在實驗中,芳胺和無機酸的摩爾比大約為1:2.5~4,酸大大過量,酸除用于生成亞硝酸外,主要目的是穩定生成的重氮鹽,若鹽酸用量不足,生成的重氮鹽容易和未反應的芳胺發生自偶合反應而影響下步的反應。但是如果酸性濃度增加,游離胺的濃度降低,反而使重氮化速度變慢。因此,反應介質的酸性應保持在pH值在2~3左右。
2)亞硝酸的用量
反應過程中,應保持亞硝酸過量,否則也會引起自偶合反應,但太過量的亞硝酸能氧化和亞硝基化等而引起一系列的副反應,對下一步偶合很不利。一般芳胺和亞硝酸鈉的摩爾比為1:1,若胺的活性低,也可以多加,但最好小于1:2。在偶合反應前,如果測定仍有過量的亞硝酸(淀粉碘化鉀試紙變藍),需加入少量的尿素破壞。
3)反應溫度
反應溫度一般在0~5oC進行,因降低溫度可降低重氮鹽的分解速度,但實驗表明當芳環上連有某些基團時,反應溫度可提高。例如:對氨基苯磺酸可在10~15oC進行;1-氨基萘-4-磺酸可在35oC進行重氮化。從理論分析,已知重氮鹽分解成苯正離子和氮氣的反應是可逆的。當重氮基的鄰、對位上有吸電子取代基時,苯環的電子密度變小,苯正離子的穩定性減小,反而使分解速度降低;間位吸電子基雖然降低苯環的電子密度,但間位降低的相對少一些,能使苯正離子穩定,從而使重氮鹽分解的速度加快。鄰對位上有給電子基的重氮鹽,與鄰對位上有吸電子取代基相似,也使分解速度變慢。因為這種取代基可以通過給電子共軛效應與重氮基共軛,使碳氮鍵的雙鍵性質增加,因此碳氮鍵斷裂較難,形成苯正離子的速度減慢,例如重氮基對位上有甲氧基的重氮鹽,它的共軛結構如下所示:

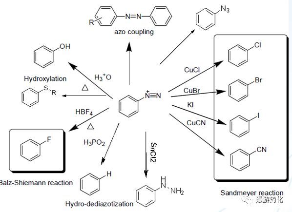
5. 重氮化反應類型

對于重氮鹽生成鹵代芳烴和腈基化合物的反應,其機理還沒有完全搞清楚,一般我們認為是一個自由基反應,苯環上的取代基(如羥基,烷氧基,?;然?,硝基和鹵素等),無論是吸電子基團還是供電子基團,對反應都沒有特別的影響,氯代必須用CuCl/HCl 體系,溴代則要用CuBr/HBr 體系,碘代則一般用鹽酸做重氮鹽,不用Cu 鹽催化,直接加KI或NaI 就能得到碘苯。

改良方法:重氮化反應通常是在氨基堿性(較)強的情況下,制成相應的鹽,方能發生的。反應通常是在酸性條件下發生的。對于一些溶解度不好的胺,或是含有對酸性敏感的官能團,用傳統的方法收率不高或是底物變質?;诖?,有人提出了用有機亞硝酸酯(異戊酯,叔丁酯)作為重氮化試劑,在乙腈上發生此反應。
5.1 鹵代(氯代、溴代、碘代)
氯離子和溴離子的親核能力較弱,因此用同樣的方法很難將氯、溴引入苯環。1884年,Sandmeyer發現在氯化亞銅或溴化亞銅的催化下,重氮鹽在氫鹵酸溶液中加熱,重氮基可分別被氯和溴原子取代,生成芳香氯化物或溴化物,這一反應稱為Sandmeyer反應。
重氮化可以直接在酸性水溶液中做,也可以用與水混溶的乙醇、乙腈、四氫呋喃、二氧六環、醋酸、DMSO或DMF作溶劑,另加鹽酸或氫溴酸。如果分子很大,水溶液明顯很差,推薦使用溶解度較好的上述有機溶劑中做。在水中溶解度溶解如果胺的活性很低,很難生成鹽酸鹽,氫溴酸鹽,或硫酸鹽,通常要加熱回流,讓足夠多的底物溶在酸性水溶液中。懸浮物不影響反應。
在做重氮化反應時,做溴代反應時,若手頭沒有氫溴酸,也可以用硫酸代替,但最好不要用鹽酸,否則會有很多氯代的副產物伴隨。很難除去。
碘代反應,由于氫碘酸很貴,通常用鹽酸進行重氮化,然后加入碘化鈉或碘化鉀即可。
氯代實例

溴代實例

碘代實例

5.2 氟代-Balz-Schiemann 反應

5.3 上腈基

5.4 上羥基

5.5 重氮鹽消除成氫

說明:這是脫除氨基的重要方法,在化學合成中,可以用硝基作為占位基,然后還原再重氮化脫除成氫。也可以用氨基來作為定位基,通過氨基的定位效應,來獲取溴代,硝化等在需要的位置取代。
另外,該反應與變成羥基的試劑咋看很類似,區別就是前者是在硫酸的水溶液加熱發生羥基取代,后者是在濃硫酸的環境中脫除反應,或是有硫酸銅或銅粉的催化,或是在亞磷酸的還原氣氛中脫除。
5.6 引入疊氮基

由于疊氮鈉是劇毒品,碰擊易炸,使用要小心。切忌敞口環境下與酸混合,否則生成劇毒的疊氮酸氣體。做此類反應,需要在密閉的體系中操作,其中一口用反扣的橡皮塞,最后把疊氮鈉溶于水中,用注射器推入到反應體系中。反應跟蹤時,用注射器取樣,產物大多在LCMS上不出分子離子峰。TLC板跟蹤。
5.7 偶氮反應

6 實例操作:

7-Aminoindan-1-one (0.78 g, 5.3 mmol) in acetone (12 mL, anhydrous) was added to a mixture of nitrosonium tetraborofluorate (NOBF4; 0.72 g, 6.2 mmol) in acetone (10 mL) at -15 oC. After 30 min, more nitrosonium tetraborofluorate (0.3 g, 2.57 mmol) was added to the mixture. This was continued until the TLC showed the disappearance of the starting material. The mixture was poured into anhydrous CHCl3 (50 mL) and stirred for 30 min. The mixture was cooled to 0 oC and the precipitate (diazonium borofluoride salt) was removed by filtration. The precipitate (mp 67-69 oC) was washed with hexane and dried under vacuum in a desiccator. The salt was added portion-wise to a solution of toluene at 84 oC. Heating continued for 5.5 h. The mixture was cooled to room temperature and loaded directly onto a column of silica gel. The product was eluted (10% EtOAc:hexane to 20% EtOAc:hexane) and 7-fluoroindan-1-one was isolated as a yellow solid, 0.25 g (31%). Phong Nguyen, Evelyn Corpuz, Todd M. Heidelbaugh, Ken Chow, and Michael E. Garst, J. Org. Chem. 2003, 68, 10195-10198.
本文轉載自漫游藥化微信公眾號
上一篇: 氟在有機合成中的應用
下一篇: 沒有了
